科研進展
我所流行病學團隊對我國農村居民結核潛伏感染與活動性肺結核及其他共病發生的相關性研究取得新進展
2025年8月,我所流行病學團隊在《The Lancet Regional Health-Western Pacific》雜志在線發表了題為“Association of tuberculosis infection with the development of active tuberculosis and comorbidities in rural China: a 10-year follow-up results of a population-based, multicentre, prospective study”的研究論文。
結核病是嚴重威脅人類健康的重大公共衛生問題。2013年,在國家傳染病防治科技重大專項的支持下,研究團隊針對我國四個不同結核病疫情地區的農村5周歲及以上常住人口開展了一項大規模、多中心的流行病學調查和隊列研究(LATENTTB-NSTM),該研究支撐了我國結核潛伏感染負擔的評估并潛伏感染發病重點人群的界定。2023年,研究團隊對參與基線調查的研究對象進行了10年隨訪,旨在探討基線結核潛伏感染狀態與10年觀察周期內結核病和其他健康問題發生風險的相關性,為優化結核病防控策略及共病管理提供數據參考。
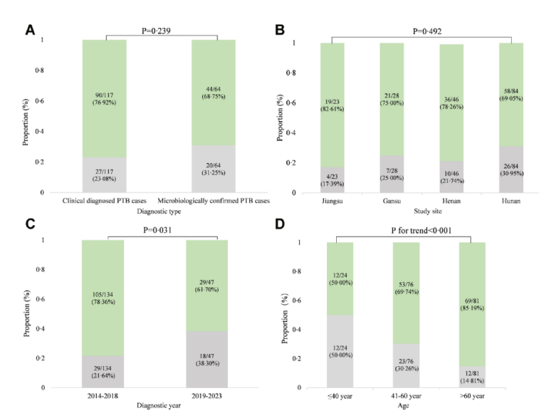
研究共納入21,211名研究對象,總隨訪人年數為170,152人年。在隊列建立的10年期間,共發現181例新發肺結核患者,其中134例來源于基線潛伏感染陽性隊列,47例來源于基線感染陰性隊列。與2014年-2018年定診的患者相比,2019年-2023年定診的患者中基線感染陰性者的占比顯著升高(38.30%(18/47) vs. 21.64%(29/134),p=0.031)。此外,基線結核潛伏感染陽性者在年齡≥60歲的肺結核新發患者中的占比(69/81,85.19%)顯著高于年齡41-60歲的患者(53/76,69.74%)和年齡≤40歲患者(12/24,50.00%)(見圖1)。同時發現,基線結核潛伏感染陽性人群發生2型糖尿病、癌癥和慢性支氣管炎的風險顯著高于基線潛伏感染陰性人群,校正后的風險比分別為1.22(95%置信區間(CI):1.04–1.42)、1.81(95% CI:1.20–2.72)和2.94(95% CI:1.06–8.15)。在不同年齡亞組及女性人群中,基線結核潛伏感染陽性與2型糖尿病和癌癥的發病風險的相關性仍然顯著(見圖2)。此外,隨著基線結核感染檢測免疫反應強度的增加,2型糖尿病的發病風險呈現上升趨勢。
本研究提示基線結核潛伏感染者是研究人群肺結核發病的重要來源,同時,隨訪期間新發感染對發病的貢獻也不容忽視。此外,結核潛伏感染也可能會影響其他健康問題的發生,值得進一步深入研究。

圖1.10年隨訪期間發生肺結核的患者其基線結核潛伏感染狀態分布情況的亞組分析

圖2:不同性別、年齡亞組下,基線結核潛伏感染者10年隨訪期間肺結核及其他疾病發生的風險
本研究工作得到中國醫學科學院醫學與健康科技創新工程(2021-I2M-1-037)、國家自然科學基金(82373647 和82473697)等項目的資助。高磊研究員、金奇研究員和博士后曹雪芳為通訊作者,辛赫男副研究員和杜江副研究員為共同第一作者。
